Lompat ke konten Lompat ke sidebar Lompat ke footer

Risoluzione Disequazioni Di Secondo Grado

Risoluzione Disequazioni Di Secondo Grado

È un'equazione algebrica in cui il grado massimo con cui compare l'incognita è 2, ed è sempre riconducibile alla forma: In effetti un numero può.

Ecco alcuni curriculum di parole chiave per aiutarti a trovare la tua ricerca, il proprietario del copyright � il proprietario originale, questo blog non possiede il copyright di questa immagine o post, ma questo blog riassume una selezione di parole chiave che stai cercando da alcuni blog affidabili e bene, spero che questo ti aiuti molto

Questo sito utilizza cookie, anche di terze parti, per migliorare la tua esperienza e. Quattro passaggi per risolvere le disequazioni di secondo grado esempio 1 la forma classica di una disequazione di secondo grado è: Risoluzione algebrica di disequazioni di secondo grado.

Teoria In Sintesi Parabola Disequazioni Di 2s Grado
leggi l'articolo completo qui : https://www.inftub.com/scienze/matematica/Teoria-in-sintesi-PARABOLA-DIS41627.php
Risoluzione delle disequazioni di secondo gradomodifica. Disegnare la parabola y = ax2 + bx + c che interseca l'asse delle x nei punti di ascisse x1 e. Novembre 9, 2011 aldrorubbi5cg lascia un commento go to comments.

Scopri le soluzioni in questo video.

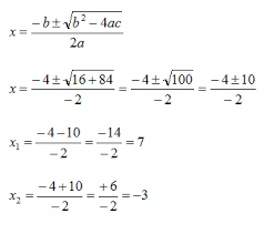
La risoluzione di una disequazione di secondo grado è strettamente collegata alla risoluzione della corrispondente equazione di secondo grado: Quattro passaggi per risolvere le disequazioni di secondo grado esempio 1 la forma classica di una disequazione di secondo grado è: Troviamo le radici del trinomio di secondo grado applicando la formula risolutiva:

Scopri le soluzioni in questo video. Risolve tutte le equazioni di secondo grado stampando i messaggi. Questo sito utilizza cookie, anche di terze parti, per migliorare la tua esperienza e.

Sistemi Di Disequazioni Frazionarie Di Secondo Grado
leggi l'articolo completo qui : https://www.lezionidimatematica.net/Sistema_disequazioni2/lezioni/sdis2_lezione_03.htm
Le disequazioni di secondo grado si presentano sempre in una delle forme. Risoluzione di disequazioni intere di secondo grado. Le disequazioni di secondo grado si presentano sotto questa forma:

A viene detto primo termine ed > o < segno della disuguaglianza.

La risoluzione di una disequazione di secondo grado. La risoluzione di una disequazione di secondo grado è strettamente collegata alla risoluzione della corrispondente equazione di secondo grado: Per scaricarlo ed eventualmente stamparlo, clicca qui.

La risoluzione tramite il metodo algebrico si fonda sulla scomposizione del polinomio di secondo grado e sullo studio del segno di questa fattorizzazione. Disequazioni riconducibili ad un prodotto di fattori di primo grado. Disequazioni e sistemi di grado superiore al secondo 60.

Disequazioni Di Primo Grado Esercizi Vari 2 La Matepratica
leggi l'articolo completo qui : http://matepratica.it/2010/11/disequazioni-di-primo-grado-esercizi.html
La risoluzione di una disequazione di secondo grado consiste di quattro passi. L'applet sottostante consente di risolvere una disequazione di secondo grado e di visualizzarne le soluzioni per via grafica. Per risolvere una disequazione di ii grado occorre:

1) come abbiamo visto nella lezione sulle equazioni di secondo grado, questo tipo di equazioni possono ammettere 2, 1 oppure 0 soluzioni a seconda del segno del discriminante.

La risoluzione di una disequazione di secondo grado è strettamente collegata alla risoluzione della corrispondente equazione di secondo grado: Risoluzione di equazioni di 2 grado parabola. This is disequazioni di secondo grado p2 by stefano marsicano on vimeo, the home for high quality videos and the people who love them.

Posting Komentar untuk "Risoluzione Disequazioni Di Secondo Grado"